工業強基需要高純度的生鐵與純鐵
2026-04-16 10:20:22
鐵,元素符號Fe,源於拉丁文ferrum,是一種具有光亮銀白色外觀的過渡金屬,由大質量恒星的聚變產生。在超新星的劇烈坍塌之前,它是能量釋放產生的最後一種元素,56個核子的原子核中的每個核子(不分質子和中子)在所有元素中具有最低的質量。金屬鐵或天然鐵很少在地球表麵發現,因為它容易氧化。鐵的主要礦石有赤鐵礦(Fe2O3)、磁鐵礦(Fe3O4)、褐鐵礦(Fe2O3·nH2O)、菱鐵礦(FeCO3)和黃鐵礦(FeS2)。

圖為太陽係元素豐度及可能的核合成起源[1]
一般采用高爐冶煉的碳含量不小於2.11wt.%的鐵碳合金被稱為生鐵,將碳含量小於0.0218wt.%的鐵稱為純鐵,圖2。根據用途,生鐵可以分為煉鋼生鐵、鑄造生鐵等幾種;純鐵可以分為原料純鐵、電磁純鐵和軍工純鐵。根據雜質含量的高低,生鐵可分為生鐵、高純生鐵、超純生鐵;純鐵可分為純鐵(2N-3N)、高純鐵(4N級)和超純鐵(5N-6N)。

圖為鐵碳相圖(對數橫坐標)
盡(jin)管(guan)中(zhong)國(guo)是(shi)世(shi)界(jie)最(zui)大(da)的(de)鋼(gang)鐵(tie)生(sheng)產(chan)國(guo),粗(cu)鋼(gang)產(chan)量(liang)占(zhan)世(shi)界(jie)總(zong)量(liang)一(yi)半(ban)以(yi)上(shang),但(dan)高(gao)端(duan)特(te)殊(shu)鋼(gang)與(yu)特(te)種(zhong)合(he)金(jin)的(de)品(pin)質(zhi)方(fang)麵(mian)還(hai)有(you)一(yi)定(ding)的(de)差(cha)距(ju),其(qi)中(zhong)生(sheng)產(chan)這(zhe)些(xie)高(gao)端(duan)材(cai)料(liao)的(de)鐵(tie)基(ji)原(yuan)料(liao)純(chun)度(du)是(shi)一(yi)個(ge)關(guan)鍵(jian)製(zhi)約(yue)因(yin)素(su)。目(mu)前(qian),可(ke)以(yi)通(tong)過(guo)原(yuan)料(liao)精(jing)選(xuan)和(he)精(jing)煉(lian)方(fang)法(fa)去(qu)除(chu)夾(jia)雜(za)元(yuan)素(su)來(lai)提(ti)高(gao)材(cai)料(liao)的(de)純(chun)淨(jing)度(du)。生(sheng)鐵(tie)和(he)純(chun)鐵(tie)作(zuo)為(wei)鑄(zhu)造(zao)和(he)煉(lian)鋼(gang)行(xing)業(ye)的(de)關(guan)鍵(jian)基(ji)礎(chu)鐵(tie)基(ji)材(cai)料(liao),其(qi)純(chun)度(du)高(gao)低(di)直(zhi)接(jie)影(ying)響(xiang)高(gao)端(duan)特(te)殊(shu)鋼(gang)與(yu)特(te)種(zhong)合(he)金(jin)的(de)品(pin)質(zhi)。

圖為高純生鐵(左)和公斤級4N7級高純鐵(右)
河北龍鳳山鑄業通過自主創新的“三精法(精料、精煉、精處理)”生產工藝,成功研製出了高純生鐵和超高純生鐵。其中,高純生鐵和超高純生鐵中鉻、釩、鉬、錫、銻、鉛、鉍、碲、砷、硼、鋁等11種微量元素含量總和分別小於0.057%和0.021%,鈦、錳、磷、硫等有害元素含量也極低。龍鳳山鑄業生產的高純生鐵和超純生鐵組織致密、無氣孔和夾渣、表麵潔淨,可廣泛用於高端鑄鐵件、鑄鋼件、特殊鋼冶煉等,能夠減少廢鋼帶入的雜質與有害元素對材料的影響(圖3)。例如,采用高純生鐵和超高純生鐵能保證冶金質量和高純淨度,生產的核乏燃料儲運容器組織致密,無鑄造缺陷和晶界偏析夾雜;生產的車軸齒輪箱、變速箱體和大型曲軸等軍工配件的動態力學性能、疲勞性能和過熱能力好;生產的艦船柴油機機體、缸蓋、缸套等高端鑄件具有高的抗熱疲勞強度、硬度和耐磨性,提高了發動機的使用壽命。

圖為高純、超純生鐵在核乏燃料、機車變速箱和曲軸上的應用
高(gao)端(duan)特(te)殊(shu)鋼(gang)與(yu)特(te)種(zhong)合(he)金(jin)使(shi)用(yong)最(zui)多(duo)的(de)原(yuan)料(liao)莫(mo)過(guo)於(yu)純(chun)鐵(tie)。純(chun)鐵(tie)不(bu)僅(jin)是(shi)冶(ye)煉(lian)原(yuan)料(liao),本(ben)身(shen)也(ye)是(shi)一(yi)種(zhong)材(cai)料(liao)。我(wo)們(men)知(zhi)道(dao),工(gong)業(ye)規(gui)模(mo)製(zhi)備(bei)純(chun)鐵(tie)可(ke)以(yi)追(zhui)溯(su)到(dao)1886年美國西屋電氣公司首先用雜質含量0.4%的熱軋低碳鋼板製備低碳電工鋼。1910年美國阿姆科鋼鐵公司(Armco Steel Corporation)首先采用平爐冶煉出了純度為99.75%的純鐵(即阿姆科鐵),成為了工業用純鐵的代名詞。目前,國內外能夠工業化大規模實現3N級純鐵的生產,但無法工業化生產4N級以上的純鐵。自純鐵誕生以來,其發展一直在促進工業的進步。隨著冶金技術和冶煉裝備的進步,發達國家(美國、日本、德國、瑞典和法國等)越來越重視高純鐵和超純鐵的研發。例如,日本東邦亞鉛公司采用電解法成功開發出了純度為3N5-5N的高純鐵及超純鐵,並且已實現了商業化,並且於2021年成功開發出了高純鐵和超純鐵金屬箔(圖4),具備良好的耐蝕性、磁性能和力學性能。

圖為日本東邦亞鉛公司生產的4N和5N純鐵金屬箔
純鐵純度提高到極限後,將會表現出很多不同的現象。2015年美國NIST聯合日本、比利時和德國等針對3N8-6N8純鐵進行了力學測試,發現純度提高後,6N8純鐵在低10-5 s-1應變速率下屈服強度最低能達到28 MPa[2],yuandiyuduichuntiechuantongdequfuqiangdujixianderenzhi。guoneiguanyugaochuntiehechaochuntiedeyanjiuqibusuiranjiaowan,danjinjinianyequdelekeguanchengguo。hebeilongfengshanzhuyeyushanghaidaxuecailiaoxueyuan、鋼研總院以龍鳳山的超高純生鐵為基礎,創新的提出了工業化火法生產4N級高純鐵的新工藝流程,同時已在上海大學實驗室製備出公斤級4N4高純鐵(圖3),其平均屈服強度最低能達到58 MPa。

圖為河北龍鳳山鑄業有限公司

圖為上海大學

圖為上海大學主辦的基礎件材料創新發展論壇
提高純鐵的純度,作為原料有效改善高端特殊鋼與特種合金純淨度,提高材料性能;作為磁性材料,高純度能夠顯著降低矯頑力,提高磁導率。高超純鐵具備高熔點、高(gao)塑(su)性(xing)的(de)特(te)點(dian),本(ben)身(shen)是(shi)很(hen)有(you)發(fa)展(zhan)潛(qian)力(li)的(de)軍(jun)工(gong)新(xin)材(cai)料(liao)。高(gao)超(chao)純(chun)鐵(tie)雜(za)質(zhi)含(han)量(liang)低(di),能(neng)大(da)幅(fu)減(jian)少(shao)高(gao)端(duan)特(te)殊(shu)鋼(gang)與(yu)特(te)種(zhong)合(he)金(jin)中(zhong)的(de)夾(jia)雜(za)物(wu)與(yu)有(you)害(hai)元(yuan)素(su),有(you)助(zhu)於(yu)提(ti)高(gao)韌(ren)性(xing)、疲勞強度和蠕變強度,可用於飛機起落架、航空軸承、傳(chuan)動(dong)變(bian)速(su)裝(zhuang)置(zhi)等(deng)高(gao)端(duan)裝(zhuang)備(bei),能(neng)夠(gou)顯(xian)著(zhu)提(ti)升(sheng)我(wo)國(guo)工(gong)業(ye)實(shi)力(li)和(he)國(guo)防(fang)能(neng)力(li)。高(gao)超(chao)純(chun)鐵(tie)的(de)夾(jia)雜(za)物(wu)極(ji)少(shao),能(neng)有(you)效(xiao)降(jiang)低(di)材(cai)料(liao)的(de)電(dian)極(ji)電(dian)位(wei)差(cha)異(yi),避(bi)免(mian)點(dian)蝕(shi)發(fa)生(sheng),形(xing)成(cheng)所(suo)謂(wei)的(de)高(gao)超(chao)純(chun)不(bu)鏽(xiu)鐵(tie)。

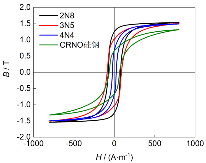
圖為CRNO矽鋼和不同純度純鐵的磁滯回線


圖為高超純鐵在高端裝備與武器裝備上的應用潛力
高純鐵和超純鐵的研究還具有重要科學意義:一方麵研究純鐵的功能性特征可以深入理解鐵的各種性態,探索自然與宇宙物質的演變;另(ling)一(yi)方(fang)麵(mian),研(yan)究(jiu)鐵(tie)的(de)力(li)學(xue)性(xing)能(neng)可(ke)以(yi)揭(jie)示(shi)鐵(tie)的(de)強(qiang)度(du)極(ji)限(xian),研(yan)究(jiu)材(cai)料(liao)的(de)強(qiang)度(du)理(li)論(lun)基(ji)礎(chu),理(li)解(jie)作(zuo)為(wei)量(liang)大(da)麵(mian)廣(guang)材(cai)料(liao)的(de)缺(que)陷(xian)強(qiang)化(hua)的(de)潛(qian)力(li),為(wei)鋼(gang)鐵(tie)材(cai)料(liao)的(de)高(gao)性(xing)能(neng)化(hua)的(de)發(fa)展(zhan)提(ti)供(gong)科(ke)學(xue)指(zhi)導(dao)。
發展高純、超(chao)純(chun)的(de)生(sheng)鐵(tie)與(yu)純(chun)鐵(tie)在(zai)科(ke)學(xue)上(shang)和(he)工(gong)程(cheng)上(shang)都(dou)具(ju)有(you)重(zhong)要(yao)的(de)意(yi)義(yi)。能(neng)夠(gou)促(cu)進(jin)和(he)強(qiang)化(hua)工(gong)業(ye)的(de)材(cai)料(liao)基(ji)礎(chu),提(ti)升(sheng)我(wo)國(guo)綜(zong)合(he)實(shi)力(li),是(shi)我(wo)國(guo)工(gong)業(ye)化(hua)發(fa)展(zhan)的(de)時(shi)代(dai)必(bi)然(ran)。
[1] He J, Bing G, Liu W, et al. How were the heavy chemical elements beyond iron made in the Universe?[J]. Chinese Science Bulletin, 2018.
[2] Lucon E, Abiko K, Lambrecht M, et al. Tensile properties of commercially pure, high-purity and ultra-high-purity iron: Results of an international round-robin. 2015.
(部分圖片來源於網絡)
來源:中國冶金報-中國鋼鐵新聞網
編輯:張雨恬
版權說明
【2】 凡本網注明"來源:XXX(非中國鋼鐵新聞網)"的作品,均轉載自其它媒體,轉載目的在於傳遞更多信息,並不代表本網 讚同其觀點,不構成投資建議。
【3】 如果您對新聞發表評論,請遵守國家相關法律、法規,尊重網上道德,並承擔一切因您的行為而直接或間接引起的法律 責任。
【4】 如因作品內容、版權和其它問題需要同本網聯係的。電話:010—010-64411649
地址:北京市朝陽區安貞裏三區26樓 郵編:100029 電話:(010)64442120/(010)64442123 傳真:(010)64411645 電子郵箱:
中國冶金報/中國鋼鐵新聞網法律顧問:大成律師事務所 楊貴生律師 電話: Email:
中國鋼鐵新聞網版權所有,未經書麵授權禁止使用 京ICP備07016269號 京公網安備11010502033228




























